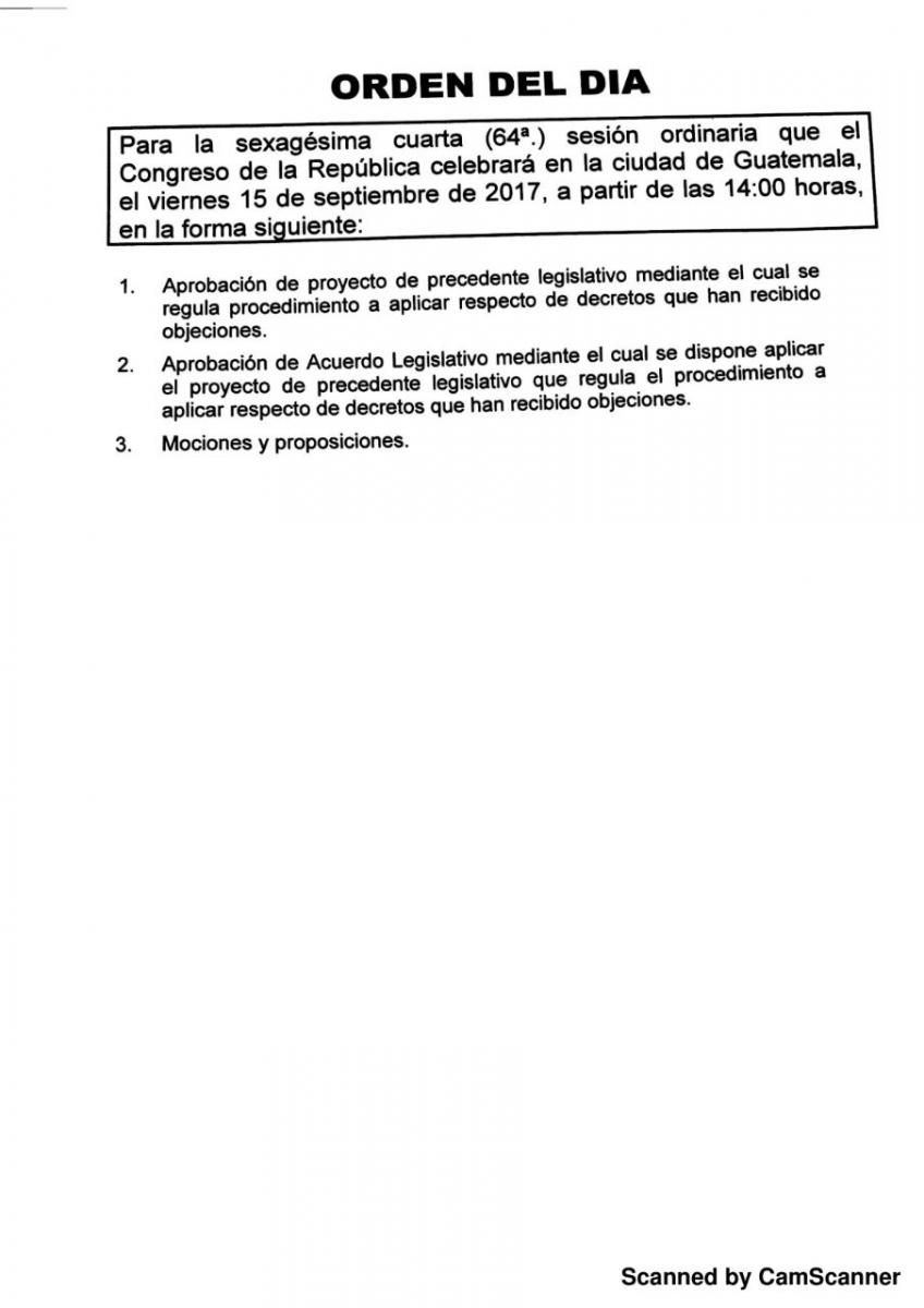
Los diputados están convocados este viernes a las dos de la tarde para evitar que los decretos 14-2017 y 15-2017 entren en vigencia y beneficien a miles de narcotraficantes, mareros y corruptos.
- MIRA AQUÍ:
La ley no establece los mecanismos para evitar que un decreto sea enviado al presidente para su visto, por lo que los diputados primero aprobarán el mecanismo y luego enmendarán los errores.

Desde las primeras horas de este 15 de septiembre, la Policía Nacional Civil (PNC) ha estado resguardando el Palacio Legislativo para evitar episodios violentos.
- ASÍ TE LO CONTAMOS:
Varios ciudadanos manifestarán frente a la sede del Organismo Legislativo desde las 12:30 horas para mostrar su rechazo a los cambios efectuados de urgencia nacional al Código Penal.
- ADEMÁS:
Algunos legisladores, señalan que varios de sus compañeros no asistirán por temor a las manifestaciones y otros porque aseguran que están participando en actos de independencia en sus distritos, por lo que hasta el momento es incierto si asistirán al menos 80 diputados para hacer las modificaciones requeridas.




